9. Midpoint voltage monitoring
One bad cell or one bad battery can destroy a large, expensive battery bank.
A short circuit or high internal leakage current in one cell for example will result in undercharge of that cell and overcharge of the other cells. Similarly, one bad battery in a 24V or 48V bank of several series/parallel connected 12V batteries can destroy the whole bank.
Moreover, when new cells or batteries are connected in series, they should all have the same initial state of charge. Small differences will be ironed out during absorption or equalize charging, but large differences will result in damage during charging due to excessive gassing of the cells or batteries with the highest initial state of charge.
A timely alarm can be generated by monitoring the midpoint of the battery bank (i.e. by splitting the string voltage in half and comparing the two string voltage halves).
The midpoint deviation will be small when the battery bank is at rest, and will increase:
At the end of the bulk phase during charging (the voltage of well charged cells will increase rapidly while lagging cells still need more charging).
When discharging the battery bank until the voltage of the weakest cells starts to decrease rapidly.
At high charge and discharge rates.
9.1. Battery bank and midpoint wiring diagrams
9.1.1. Connecting and monitoring midpoint in a 24V battery bank

GOOD: The midpoints are not connected and without busbars or midpoint monitoring.

WRONG: The midpoints are connected and without busbars or midpoint monitoring.
Due to the voltage drop over the positive and the negative cables the midpoint voltage is not identical.
In an unmonitored battery bank, the midpoints should not be interconnected; since one bad battery bank can go unnoticed and could damage all other batteries.

GOOD: The midpoints are not connected; busbars are used but without midpoint monitoring.

GOOD: The midpoints are connected, with busbars and midpoint monitoring.
Always use busbars when applying midpoint voltage monitoring. The cables to the busbars must all have the same length.
The midpoints can only be connected if corrective action is taken in case of an alarm.
9.1.2. Connecting and monitoring midpoint in a 48V battery bank

GOOD: The midpoints are not connected and without busbars or midpint monitoring.

WRONG: The midpoints are connected and without busbars or midpoint monitoring.
Due to the voltage drop over the positive and the negative cables the midpoint voltage is not identical.

GOOD: The midpoints are not connected; busbars are used and without midpoint monitoring.

GOOD: The midpoints are connected, busbars are used and with midpoint monitoring.
In an unmonitored battery bank the midpoints should not be interconnected, one bad battery bank can go unnoticed and could damage all other batteries.
Always use busbars when applying midpoint voltage monitoring. The cables to the busbars must all have the same length.
Midpoints can only be connected if corrective action is taken in case of an alarm.
9.2. Midpoint deviation calculation
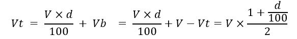
The battery monitor measures the midpoint and then calculates the deviation in a percentage from what the midpoint should be.
Where: d is the deviation in % Vt is the top string voltage Vb is the bottom string voltage V is the voltage of the battery (V = Vt + Vb) |
| |||
9.3. Setting the alarm level
In case of VRLA (gel or AGM) batteries, gassing due to overcharging will dry out the electrolyte, increasing internal resistance and ultimately resulting in irreversible damage. Flat plate VRLA batteries start to lose water when the charge voltage approaches 15V (12V battery). Including a safety margin, the midpoint deviation should therefore remain below 2% during charging. When, for example, charging a 24V battery bank at 28.8V absorption voltage, a midpoint deviation of 2% would result in:
Obviously, a midpoint deviation of more than 2% will result in overcharging the top battery and undercharging the bottom battery. These are two good reasons to set the midpoint alarm level at not more than d = 2%.
This same percentage can be applied to a 12V battery bank with a 6V midpoint.
In case of a 48V battery bank consisting of 12V series connected batteries, the % influence of one battery on the midpoint is reduced by half. The midpoint alarm level can therefore be set at a lower level.
9.4. Alarm delay
An alarm delay is in place to prevent the occurrence of alarms during short-term deviations that will not damage a battery. The alarm is triggered when the deviation exceeds the set alarm value for more than 5 minutes. If the deviation exceeds the set alarm value by a factor of two or more, the alarm will trigger after 10 seconds.
9.5. What to do in case of an alarm during charging
In case of a new battery bank the alarm is usually due to differences in the initial state of charge of the individual battery. If the deviation increases to more than 3% you should stop charging the battery bank and charge the individual batteries or cells separately. Another way is to substantially reduce the charge current to the battery bank, this will allow the batteries to equalize over time.
If the problem persists after several charge-discharge cycles do the following:
In case of series/parallel connection disconnect the midpoint, parallel connection wiring and measure the individual midpoint voltages during absorption charging to isolate batteries or cells which need additional charging.
Charge and then test all batteries or cells individually.
In case of an older battery bank which has performed well in the past the problem may be due to systematic undercharge. In this case more frequent charging or an equalization charge is needed. Please note that only flooded deep cycle flat plate or OPzS batteries can be equalized. Better and regular charging will solve the problem.
In case there are one or more faulty cells:
In case of series/parallel connection disconnect the midpoint, parallel connection wiring and measure the individual midpoint voltages during absorption charging to isolate batteries or cells which need additional charging.
Charge and then test all batteries or cells individually.
9.6. What to do in case of an alarm during discharging
The individual batteries or cells of a battery bank are not identical, and when fully discharging a battery bank, the voltage of some cells will start dropping earlier than others. The midpoint alarm will therefore nearly always trip at the end of a deep discharge.
If the midpoint alarm trips much earlier (and does not trip during charging), some batteries or cells may have lost capacity or may have developed a higher internal resistance than others. The battery bank may have reached the end of service life, or one or more cells or batteries have developed a fault:
In case of series/parallel connection, disconnect the midpoint parallel connection wiring and measure the individual midpoint voltages during discharging to isolate faulty batteries or cells.
Charge and then test all batteries or cells individually.
9.7. The Battery Balancer
A consideration can be made to add a Battery Balancer to the system. A Battery Balancer will equalize the state of charge of two series connected 12V batteries, or of several parallel strings of series connected batteries.
When the charge voltage of a 24V battery system increases to more than 27.3V, the Battery Balancer will turn on and compare the voltage over the two series connected batteries. The Battery Balancer will draw a current of up to 0.7A from the battery (or parallel connected batteries) with the highest voltage. The resulting charge current differential will ensure that all batteries will converge to the same state of charge. If needed, several balancers can be paralleled.
A 48V battery bank can be balanced with three Battery Balancers, one between each battery.
For more information see the Battery Balancer product page: https://www.victronenergy.com/batteries/battery-balancer.
